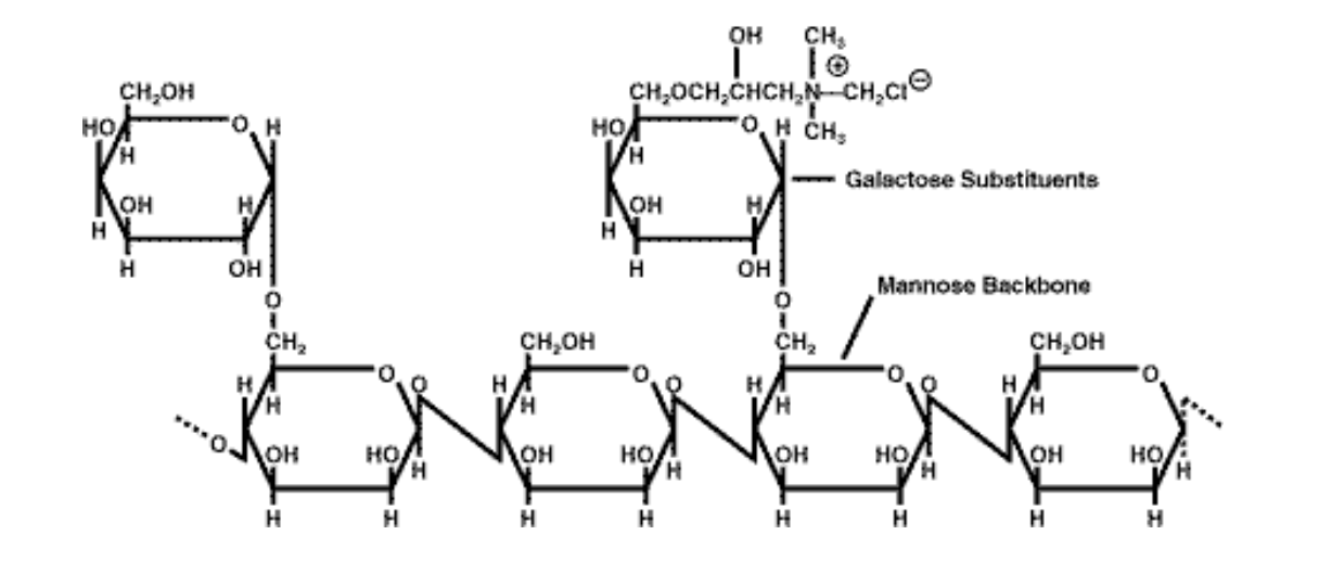
SUNCOS-CG products are specialty polymers designed for use in cosmetics and personal care formulations. These products are chemically modified derivatives of Guar gum, specifically Guar hydroxypropyl trimonium chloride, obtained by reacting Guar gum with a quaternary ammonium compound.
SUNCOS-CG products are especially developed to impart performance functions such as thickening, conditioning, foam stability, softening and lubricity in cosmetics & personal care products like hair & skin care products, cleansing & bathing products etc. SUNCOS-CG products have additional conditioning effect due to the quaternary polymer structure having positive charge.
Being cationic in nature, SUNCOS-CG products are compatible with other additives being used in cosmetic & personal care products like hair shampoo, bath wash, facial cleanser, liquid soap, cream & lotion, hair dye, shower gels, hand wash etc.
These versatile polymers ensure improved performance and compatibility, making them an excellent choice for enhancing the quality of various cosmetic and personal care formulations.
Chemical Structure of SUNCOS-CG
SUNCOS-CG products are available in varying viscosities, nitrogen content, degree of substitution, microbiological counts and water dispersing properties. Detailed specification sheets are available on request. Customized products can also be developed and manufactured to suit specific needs.
Address: E-394, MIA, Phase-II, Basni, Jodhpur-342005, Rajasthan (INDIA)
Email: info@shplindia.com
Fax: +91 291 2740867